Spring wheat variety and agronomy trials

Could spring wheat be an alternative for unplanted winter wheat acres?

Spring wheat
Photo by Ashley McFarland

Michigan farmers have traditionally planted little to no spring wheat. However, with recurring weather patterns, including this winter, hampering planting and survival of winter wheat acreage, there is renewed interest in evaluating the potential of spring wheat lines here.

If you are considering growing spring wheat, there are several things to consider including market access, seed sourcing and yield potential.

First step: Evaluate access to a market

Before you even consider planting spring wheat, contact your local elevator or delivery location to verify if they will take spring wheat and, if so, what kind. There are several classes of spring wheat: durum, hard red and soft white. We have not tested hard red spring wheats in Michigan, and we know durum wheats are not well suited for Michigan. So, thinking about Michigan’s milling industry, it makes sense to focus on soft white spring varieties. Milling and baking quality of spring wheat will be important factors in determining market access and salability of the crop at local elevators.

Again, before you order spring wheat seed, make sure you have a market commitment for the grain.

Next: Consider yield upside

Another key consideration when thinking about planting spring wheat is its yield potential, which can be significantly different than winter wheat yields. The Michigan State University Wheat Program has grown soft white spring wheat for four of the past five years; yields were good only one of those years. Spring wheat yields in our trials have ranged from 55-80% of state average winter wheat yields in the same year.

Still, there may be other reasons for growing spring wheat besides yield potential.

  • Maintaining crop rotation. Farms that were not able to get all of their intended winter wheat acreage planted may want to plant spring wheat to keep the crop rotation in place.
  • Manure spreading site. Spring wheat may also provide a place to spread manure in the summer.
  • Wheat byproducts. Some farms need the wheat straw for bedding and feed, which could be obtained by planting spring wheat. Regardless of your reason for planting spring wheat, make sure you have a market for the grain and be prepared for much lower grain yields.

Table 1. Soft white spring wheat varieties tested at Michigan State University from 2015-2019.
(FHB = Fusarium head blight; SVREC = Saginaw Valley Research and Extension Center.)

 

 Variety

FHB rating ¹

Plant height (inches)

Lodging rating ²

2015 -SVREC

Yield (bushel per acre)

2016 - SVREC

Yield (bushel per acre)

2017 - SVREC

Yield (bushel per acre)

2019 - Mason

Yield (bushel per acre)

Alpowa

6

32

55

85.3

---

---

---

Alturas

3*

27

65

83.1

---

---

---

Babe

7

29

50

91.7

62.9

46.6***

57.9

Diva

6

32.5

95

36.1

---

---

53.9

Eden

7

31.5

---

85.5

---

---

---

IDO1401

7.5

26

65

84.1

58.8

41.8

59.3

IDO1402

8

30.5

20**

92.4

64.7

46.4***

59.8

IDO1403

6

27.5

35

83.0

---

---

---

IDO1404

5.5

27.5

0**

84.4

---

---

---

IDO1405

2.5*

29

20**

107.6***

66.6

42.6

60.8***

IDO644

5

27

10**

87.2

65.2

45.4

64.1***

IDO669

6

31

70

73.5

---

---

---

IDO686sh

6

26.25

70

78.8

---

---

---

IDO851

5

27

35

87.5

68.4***

44.4

59.5

IDO852

7.5

28.5

60

93.3***

---

---

---

IDO854

6.5

30.5

10**

92.1

68.1

40.3

57.7

JD

---

---

---

---

---

---

55.6

Louise

8

33.5

95

78.7

---

---

53.3

Melba

1.5*

32

20**

93.8***

69.4***

45.2

56.8

Ryan

---

---

---

---

---

---

51.4

Seahawk

5.5

30

70

86.0

66.4

44.7

56.2

Tekoa

---

---

---

---

---

---

61.9***

UI Cataldo

6

26.5

35

81.0

---

---

---

UI Pettit

7

25.5

25

82.1

60.2

40.9

58.2

UI Stone

6

29.5

70

89.9

61.2

42.0

56.7

WA8189

4.5

30.5

15**

81.6

64.1

45.8

60.9***

WA8214

8

27

85

39.6

66.3

44.2

55.1

WA8224

8

31.5

35

93.8***

---

---

---

WA8277

---

---

---

---

---

---

53.5

Whit

5

29.5

90

92.7***

66.2

42.0

58.1

Zak

6.5

31.5

15**

83.3

---

---

---

Min

1.5

25.5

0.0

36.1

58.8

40.3

51.4

Max

8.0

33.5

95.0

107.6

69.4

46.6

64.1

Mean

5.9

29.3

46.7

83.2

64.9

43.7

57.5

¹ FHB rating from spring 2015 in Tuscola (1 = low FHB infection, 9 = high FHB infection).
² Lodging rating from spring 2015 at MSU (0 = no lodging, 100 = completely lodged).
* in FHB rating column indicate moderate resistance to FHB (score < 4).
** in Lodging rating column indicate moderate lodging resistance (score < 25%).
*** in Yield columns indicate top 20%.

Winter wheat seed sources

Soft white spring wheat seedlines come from the Pacific Northwest, including Washington, Idaho and Oregon. While you can use the internet to research their breeding programs and look at yield data from their trials, exercise caution when setting expectations for the performance of Pacific Northwest varieties on your farm in Michigan.

Consult Michigan spring wheat data first

When looking at spring wheat, review the Michigan spring wheat data published here in Table 1 and Figure 1. The MSU Wheat Breeding and Agronomy Program has planted a small set of soft white spring wheat varieties since 2015. In 2019 we conducted an agronomy trial where starter fertilizer, seeding rate and nitrogen fertilizer rate were evaluated.

Note: Several of the lines listed in Table 1 are experimental lines and seed may not be commercially available at this time.

The data in Table 1 are the results from soft white spring wheat varieties planted between 2015 and 2019. Management of the variety trials followed a conventional management regime of 1.6 million seeds per acre and 90 pounds of nitrogen per acre.

The spring wheat varieties tested and reported have not been subject to the high-management practices that would help us know how they respond to split nitrogen or fungicide application. Additional research is needed in the future to identify the impacts of higher management, yet the data is an excellent place to begin understanding spring wheat performance in Michigan. Agronomic practices to maximize yield potential are also needed in Michigan.

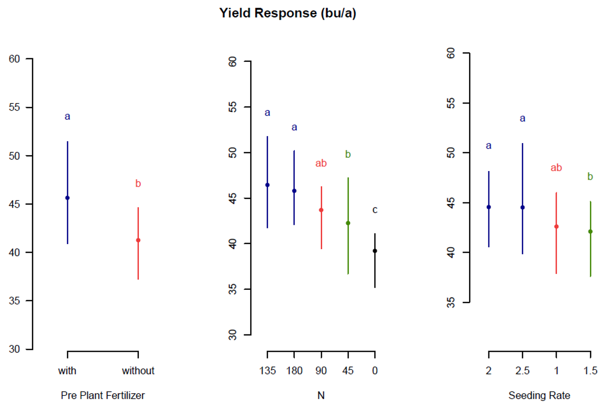
In 2019, Seahawk soft white spring wheat was planted in a trial (results in Figure 1) with the following treatments:

  • Starter fertilizer (with and without).
  • Nitrogen rates (0, 45, 90, 135, 180 pounds per acre).
  • Seeding rates (1, 1.5, 2, 2.5 million seeds per acre). This trial was planted at the MSU Mason Research Farm April 26, 2019 and harvested Aug. 5, 2019.

Figure 1 describes results of using starter fertilizer (312 pounds per acre of 6-24-24), which was applied May 6, 2019. Nitrogen (155 pounds per acre of 46-0-0) was applied the same day. Starter fertilizer improved yield, as did higher nitrogen rates. Higher seeding rates also produced higher yields.

Please be aware that this data for soft white spring wheat is from one year and one location in Michigan. We recommend making management decisions based on several years of data, so exercise caution before using this information to determine fertilizer rates and seeding rates. Additional trials on spring wheat are planned again for the 2020 growing season.

Figure 1 chart
Figure 1. Yield response for Seahawk soft white spring wheat (a = preplant fertilizer, b = nitrogen rate and c = seeding rate).

Recommendations for white spring wheat

With the very limited data we have available—and recognizing why farmers may wish to experiment with soft white spring wheat—MSU Extension has put together these recommendations that represent what we know about these seedlines in Michigan.

  • Seeding rate: One to two million seeds per acre.
  • Seeding date: April 1 – 15 (late planted spring wheat will have lower yield potential).
  • Starter fertilizer: Apply phosphorus and potassium based on soil test level.
  • Nitrogen: Apply 60-90 pounds of nitrogen per acre when the plants are 2-4 inches tall.
  • Fungicide: No testing has been done; likely not economically feasible.
  • Seed sources: There are not many sources for soft white spring wheat. Soft White Spring Wheat from Washington Crop Improvement Association details most of the commercially available soft white spring wheat varieties. Shipping may be costly and take time, so order accordingly.

Did you find this article useful?