2022 Specialty Pepper Cultivar Trial
DOWNLOADDecember 7, 2022 - Benjamin Phillips and Jenny Schoonmaker, Michigan State University Extension
A specialty pepper cultivar trial was planted at the Southwest Michigan Research and Extension Center (42.081985, -86.354087, Benton Harbor, Michigan). Bejo (BJ), Johnny’s Seeds (JO), Seminis (SE), Tozer (TZ), and US Agriseeds (UA) seed companies donated six jalapeno cultivars, nine lunchbox cultivars, and two tapered 5-inch cultivars for plastic-mulch bedded and trellised hand harvest. Trial quality was excellent.
Materials and Methods
On 7 April, the 17 pepper cultivars were seeded into 72-cell trays and raised for 43 days in a greenhouse and 6 days in a shadehouse.
On 29 April lime and fertilizers were preplant incorporated to achieve 40 lb. N, 0 lb. P2O5, 20 lb. K2O, 1 lb. B, 25 lb. S, and 2000 lb. lime per acre (119 lb. 21-0-0-21S, 32 lb. 46-0-0, 28 lb. 0-0-60, 6.5 lb. 0-0-0-15B) in a field size of 0.4 acre. The soil type was a well-drained Oakville fine sand. On 11-12 May, black plastic mulch and drip tape was laid with 6 ft between beds. No fumigation was used.
On 26 May, peppers were planted in a completely randomized design with four replications, two rows per bed, 14 inches apart between rows and 18 inches between holes in-row resulting in 16 plants per bed and a final plant population of 9,680 plants per acre. Two plants of a distinctly different variety were planted on either end of each plot to reduce picking errors between plots.
On 2 June, the fertigation schedule started delivering 5 lb. N and 5 lb. K2O per week (30 lb. 18-0-0-5Ca-1.5Mg, 9 lb. 0-0-60) for 15 weeks. No herbicides were applied. The field was hand-hoed, and diseases were managed with a weekly rotation of standard fungicides. Hornworms and two-spotted spider mites were treated on 29 July, and 2 September, respectively.
Four reps of all cultivars were harvested and measured five times on 4 Aug (70 dap), 16 Aug (82 dap), 23 Aug (89 dap), 6 Sep (103 dap), and 26 Sep (123 dap). We harvested all 16 plants from each dual row plot when the fruits began marketable sizes for jalapenos and tapered 5-inch peppers, and when full color was reached for the lunchbox cultivars. Fruits were removed from the plants and sorted, counted, and weighed by No. 1 quality fruit, No. 2 quality fruit, and culls. Yield data was analyzed with a both parametric ANOVA and non-parametric Kruskal-Wallis procedures followed by a Least Significant Difference (LSD) calculation.
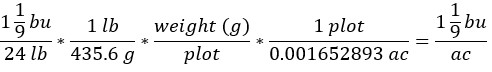
The data was subset to compare jalapenos, lunchbox peppers, and tapered 5-inch cultivars. Fruit per plant, 1-1/9 bushels per acre of each quality class, and combined total 1-1/9 bushel per acre yield calculations do not include culls. We determined 1-1/9 bushels per acre with the following equation.

Results and Discussion
The season was characterized by warmth and dryness (Table 1). The established transplant stand was near 100%, and plants grew well.
Jalapenos
Total clean yield (No. 1 + No. 2) averaged 1405.5 1-1/9 bushels per acre (Table 2), and was fairly consistent across picking dates (Figure 1). The top three No. 1 yielders were the same as for total yield: Aldama, Pantera, and SVHJ5816. The three lowest No. 1 yielders were Caporal, Ahome, and Abasolo. The No. 2 category consisted mostly of peppers that were crooked, too short, or extra bulbous around the seed cavity. The average percentage of No. 2 yields was 12%, ranging between 8% (Pantera) and 15% (Aldama).
Cull rates averaged 7% and were between 2% and 17%. The culls were largely due to blossom end rot and stinkbug damage. The top three yielders also had <2% culls. The cultivar with the highest cull percentage was Abasolo at 17%.
Lunchbox
Total clean yield (No. 1 + No. 2) averaged 829.1 1-1/9 bushels per acre (Table 3), and generally increased with each picking (Figure 1). The top three No. 1 yielders were the same as for total yield: Yellow Snack, Red Snack, and Pepperilli. However, the market for Pepperilli is different because it is sweet but also hot. So, the next best performing sweet lunchbox cultivar for No. 1 yield was Yellow Sweetie. The three lowest No. 1 yielders were Orange Snack, Firebell, and Purple Sweetie. Firebell, which is also a sweet-hot cultivar did not yield harvestable fruit in any volume until the third picking. Purple Sweetie was one of the first cultivars to be picked because its immature color is purple, and they were picked small to catch them before they turned mature red. This resulted in a smaller pepper compared to others in the Sweetie series, and the distinction of yielding the highest percentage of No. 2 fruit (28%) in the Sweetie series.
Cull rates averaged 7% and were between 4% and 10%. The culls were largely due to blossom end rot. The three cultivars with the lowest cull percentages were Red Snack, Red Sweetie, and Yellow Snack. The three cultivars with the highest cull percentages were Yellow Sweetie, Purple Sweetie, and Firebell.
Regarding the Snack series, the Orange Snack cultivar was the weakest link, trailing its series partners, Red Snack and Yellow Snack by over 330 1-1/9 bushels per acre. In the Sweetie series, Red Sweetie, Orange Sweetie and Yellow Sweetie were within 100 1-1/9 bushels per acre of each other, with Purple Sweetie trailing by nearly 300 1-1/9 bushels per acre.
I am not sure where Pepperilli and Firebell fit into the marketplace, but the farm staff had fun eating them as a novelty endurance test and processing them into pickles and powders for cooking. Firebell performed similar to Red Sweetie and Orange Sweetie, while Pepperilli performed more similar to Red Snack and Yellow Snack.
Tapered 5-inch
Total clean yield (No. 1 + No. 2) averaged 981.6 1-1/9 bushels per acre (Table 4), and generally peaked at the third picking (Figure 1). Cornito Giallo is marketed as a small bull’s horn or corno di toro pepper and SVPS2762 is a cubanelle with less of a pointy end and more pronounced lobes, but they performed statistically similar in nearly every way, except SVPS2762 yielded half the number of marketable fruits as Cornito Giallo, and had over twice as many culls due to blossom end rot. No. 2 peppers primarily consistent of crooked fruit, which is a common symptom of longer tapered peppers and both cultivars behaved similarly in this regard. Our picking crew picked these cultivars similarly, when they were full size and hard-ripe, including greens. This is a fine approach for cubanelles, but the market for the cornito and corno di toro types is full-color ripe. I do not think one would find a difference in average 1-1/9 bushels per acre in Table 4 by picking only full ripe fruit, but the picking curve in Figure 1 would probably look more like a lunchbox type harvest curve with smaller yields early and larger yields later.
Acknowledgements
Thanks to Anthony Stevenson, Kraig Kuykendall, Steve Coffey, Kristin Oomen, Dana Hilfinger, and John Schramski at the seed companies; Dave, Rich, Sylvia, Martin, Mina, Ramon, and Jenny at the farm.
|
Table 1. Weather data summarized by weeks between 26 May and 26 September at the Southwest Michigan Research and Extension Center in 2022. Temperatures were averaged by week, and precipitation is total number of inches received for that week. *Week is reported as week of the year (week of the trial). |
|||||
|
Week* |
Max Air Temp (F) |
Min Air Temp (F) |
Max Soil Temp (F) |
Min Soil Temp (F) |
Precipitation (inches) |
|
21(1) |
74.13 |
53.75 |
73.43 |
60.70 |
0.06 |
|
22(2) |
79.86 |
56.29 |
79.29 |
65.33 |
0.00 |
|
23(3) |
72.25 |
53.87 |
76.00 |
63.58 |
0.96 |
|
24(4) |
85.79 |
62.44 |
86.71 |
71.61 |
1.07 |
|
25(5) |
84.80 |
61.34 |
89.39 |
72.41 |
0.00 |
|
26(6) |
82.09 |
57.20 |
90.73 |
71.44 |
0.00 |
|
27(7) |
84.50 |
63.96 |
87.79 |
73.20 |
2.65 |
|
28(8) |
79.93 |
60.28 |
85.60 |
72.78 |
0.12 |
|
29(9) |
85.20 |
68.90 |
86.07 |
75.17 |
0.36 |
|
30(10) |
- |
- |
- |
- |
- |
|
31(11) |
84.77 |
70.93 |
84.73 |
76.07 |
0.83 |
|
32(12) |
79.15 |
65.55 |
82.65 |
74.30 |
0.02 |
|
33(13) |
- |
- |
- |
- |
- |
|
34(14) |
81.04 |
59.42 |
81.48 |
71.30 |
0.00 |
|
35(15) |
81.43 |
62.66 |
82.69 |
72.19 |
0.21 |
|
36(16) |
78.99 |
58.40 |
82.13 |
70.24 |
0.54 |
|
37(17) |
76.93 |
56.30 |
75.03 |
65.89 |
0.09 |
|
38(18) |
70.23 |
53.26 |
72.14 |
65.26 |
1.43 |
|
39(19) |
60.30 |
50.90 |
63.30 |
59.50 |
0.38 |
|
Mean |
78.9 |
59.7 |
81.1 |
69.5 |
0.5 |

|
Tables 2, 3, 4. Mean yield data of 17 specialty pepper cultivars, subset by their types, at the Southwest Michigan Research and Extension Center in 2022. Data in these tables are arranged in order of largest mean total yield in clean bushels per acre (No. 1 + No. 2), with a 1-1/9 bushel representing 24 lb. of peppers. Values in bold indicate the cultivar performed statistically like the cultivar with the highest value for that column. Numbers in parentheses are rank-sum values generated through the Kruskal-Wallis procedure used to analyze data that did not meet the assumptions for performing an ANOVA procedure. The Least Significant Difference (LSD) is the critical value that differentiates cultivars statistically. For example, subtracting the Total 1-1/9 bushels per acre LSD of 268.3 from Yellow Snack – 1122.5 – is 854.2. Any cultivar with a rank-sum less than 854.2 is deemed significantly different from Yellow Snack. In a column with rank-sums in parentheses, the same process is used with those parenthetical values. |
|
Table 2. Jalapenos |
|||||
|
Company and Cultivar |
Total 1-1/9 bu/a |
No 1 1-1/9 bu/a |
No 2 1-1/9 bu/a |
Cull 1-1/9 bu/a |
Fruit Per Plant |
|
BJ Aldama |
1641.2 (19.5) |
1400.2 |
241.1 (21.3) |
33.0 (8.0) |
52.6 |
|
UA Pantera |
1514.3 (16.0) |
1392.7 |
121.5 (5.5) |
26.5 (7.0) |
38.7 |
|
SE SVHJ5816 |
1510.3 (15.8) |
1346.6 |
163.8 (12.8) |
21.3 (4.5) |
39.8 |
|
BJ Caporal |
1293.1 (9.8) |
1117.2 |
175.9 (14.0) |
130.5 (19.3) |
33.8 |
|
BJ Ahome |
1267.5 (7.3) |
1105.9 |
161.6 (13.8) |
81.4 (15.0) |
40.9 |
|
BJ Abasolo |
1206.6 (6.8) |
1073.2 |
133.4 (7.8) |
249.5 (21.3) |
35.7 |
|
Mean |
1405.5 |
1239.3 |
166.2 |
90.4 |
40.2 |
|
CV |
16.8 |
17.6 |
32.9 |
102.0 |
18.1 |
|
Test Statistic (5,18) |
H=11.2 |
F=2.9 |
H=12.2 |
H=19.4 |
F=9.1 |
|
P-value |
0.048 |
0.044 |
0.033 |
0.002 |
<0.001 |
|
LSD (t.students α=0.05) |
(8.4) |
272.3 |
(8.2) |
(4.7) |
6.5 |
|
Table 3. Lunchbox |
|||||
|
Company and Cultivar |
Total 1-1/9 bu/a |
No 1 1-1/9 bu/a |
No 2 1-1/9 bu/a |
Cull 1-1/9 bu/a |
Fruit Per Plant |
|
TZ Yellow Snack |
1122.5 |
1030.2 (30.0) |
92.4 (15.3) |
62.8 |
44.6 |
|
TZ Red Snack |
1086.0 |
917.2 (28.5) |
168.9 (27.0) |
44.3 |
53.5 |
|
TZ Pepperilli |
893.0 |
805.5 (23.0) |
87.5 (12.8) |
50.4 |
37.3 |
|
TZ Yellow Sweetie |
853.8 |
745.7 22.5) |
108.1 (19.0) |
87.6 |
45.0 |
|
TZ Orange Sweetie |
813.4 |
630.9 (13.0) |
182.6 (31.0) |
54.0 |
43.5 |
|
TZ Red Sweetie |
758.8 |
628.1 (15.0) |
130.8 (21.8) |
36.1 |
44.7 |
|
TZ Orange Snack |
749.3 |
651.4 (15.3) |
98.0 (14.3) |
48.9 |
42.3 |
|
TZ Firebell |
720.9 |
658.1 (15.8) |
62.8 (6.0) |
92.3 |
33.3 |
|
TZ Purple Sweetie |
463.8 |
336.2 (3.5) |
127.7 (19.0 |
53.5 |
36.9 |
|
Mean |
829.1 |
711.5 |
117.6 |
58.9 |
42.4 |
|
CV |
30.1 |
34.2 |
46.0 |
45.4 |
23.4 |
|
Test Statistic (8,27) |
F=4.6 |
H=20.0 |
H=16.3 |
F=2.9 |
H=12.7 |
|
P-value |
0.001 |
0.010 |
0.038 |
0.017 |
0.121 |
|
LSD (t.students α=0.05) |
268.3 |
(11.4) |
(12.7) |
32.3 |
ns |
|
Table 4. Tapered 5-inch |
|||||
|
Company and Cultivar |
Total 1-1/9 bu/a |
No 1 1-1/9 bu/a |
No 2 1-1/9 bu/a |
Cull 1-1/9 bu/a |
Fruit Per Plant |
|
JO Cornito Giallo |
1150.0 |
903.8 |
246.1 |
54.0 |
23.8 |
|
SE SVPS2762 |
813.2 |
580.3 |
232.8 |
175.8 |
12.1 |
|
Mean |
981.6 |
742.1 |
239.5 |
115.0 |
18.0 |
|
CV |
31.4 |
33.8 |
31.3 |
58.8 |
37.8 |
|
Test Statistic (1,6) |
F=3.1 |
F=5.4 |
F=0.05 |
F=78.0 |
F=33.5 |
|
P-value |
0.128 |
0.059 |
0.823 |
<0.001 |
0.001 |
|
LSD (t.students α=0.05) |
ns |
ns |
ns |
33.7 |
5.0 |
