FINAL REPORT: Development of Market-Driven Improved Cowpea Varieties for West Africa using Mature-Markers

December 7, 2023

 

Feed the Future Innovation Lab for Legume Systems Research

Final Technical Report (2019-2023)

 

Project Title: Development of Market-Driven Improved Cowpea Varieties for West Africa using Mature-Markers

Project Code: AOI 1.1 UCR Roberts

Lead PI: Philip Roberts, University of California-Riverside

Research Themes (keywords): cowpea, Vigna unguiculata, breeding, variety improvement, downstream breeding, variety release, mature markers for traits, indirect selection.

Research Country focus: Burkina Faso, Ghana and Senegal, covering primary agro-ecologies in the cowpea production region of West Africa.

 

Executive Summary

Cowpea, a highly nutritious legume crop vitally important to food security in the Sudano-Sahel, West Africa, especially for women and children, complements dietary cereals. However, typical smallholder farmer yields are 10-20 % of yield potential, mainly due to insect pests, pathogens, parasites and drought. The project focused on Ghana, Senegal and Burkina Faso, three countries in the West Africa cowpea production region, chosen on the basis of: 1) alignment with USAID country foci, with Ghana and Senegal being FTF target countries and Burkina Faso a FTF aligned country, with Zones of Influence impacted by cowpea production dynamics, either directly through local cowpea production increases (northern Ghana, central and northern Burkina Faso) or secondarily via country-wide cowpea systems enhancements (Senegal); 2) representation of the primary cowpea production agro-ecologies within each of the countries, and providing a broader regional representation of West Africa cowpea production systems; and 3) mature HC-UCR collaborative research and breeding partnerships that provided a robust project efficiency, productivity and management framework.

Cowpea downstream breeding utilized previously discovered single nucleotide polymorphism (SNP) marker haplotypes linked to target traits. A suite of marker-trait pairs was used in improvement of elite varieties and lines through indirect selection for enhanced variety releases. Tolerance/resistance to aphids, thrips, Macrophomina, and Striga, together with drought tolerance and preferred grain quality (large seed, rough seed-coat for quicker cooking time, plus seed color specific to HC target region market preference for white, or light cream with browneye or black-eye, or brown) were phenotypes chosen to improve six current popular varieties, and in selecting breeding population lines for market-driven preferred grain types. Improvement of elite varieties and lines was conducted using three sets of cowpea breeding stocks. These included three breeder-selected current elite varieties in each HC; elite 8-parent multi-parent advanced generation intercross (MAGIC) lines and a set of new super-MAGIC (spMAGIC) lines developed by intercrossing selected MAGIC population lines carrying high positive allele content of target traits; and elite marker-assisted recurrent selection (MARS) lines developed in Burkina Faso and Nigeria. Field and greenhouse phenotyping in Ghana, Senegal and Burkina Faso was matched with SNP marker high-throughput genotyping to select for both the target traits (foreground selection) and for recurrent background recovery (background selection) in backcrossing cycles. Near-release lines were tested regionally to broaden release potential. Formal release applications were prepared and submitted by the HC co-PI in each country.

In California, cowpea dry grain novel market classes of breeding lines were advanced, utilizing marker resources and breeding lines for overlapping trait targets with the West Africa targets. This project leveraged funding from the California Dry Bean Advisory Board to produce one improved blackeye dry-grain cowpea variety (‘California Blackeye 77’ or ‘CB77’) and advanced breeding lines for fresh market and canning, in support of the US dry bean industry.

Primary capacity building in each of the host countries was achieved by graduate degree training in cowpea breeding and genetics, coupled with continuous short-term training of HC scientists in molecular breeding. The outputs and associated capacity building contributed to FTF priorities to increase pulse productivity via yield gain, thereby promoting dietary nutritional value and the livelihoods of women and youth, and resilience by increased household incomes.

 

Project Partners

U.S. PI and Co-PIs:

          PI: Philip A. Roberts, Distinguished Professor, Department of Nematology, University of California, Riverside, CA 92521-0415; Tel (951) 827-7332; FAX (951) 827-3719; email philip.roberts@ucr.edu

          Co-PI: Bao-Lam Huynh, Professional Researcher, Department of Nematology, University of California, Riverside, CA 92521-0415; Tel (951) 827-7330; email baolam.huynh@ucr.edu

          Co-PI: Timothy J. Close, Professor, Department of Botany and Plant Sciences, University of California, Riverside, CA 92521; Tel (951) 827-3318; email timothy.close@ucr.edu

Host Country (HC) Co-PIs:

          Co-PI: Benoit Joseph Batieno, Institut de l'Environnement et des Recherches Agricole (INERA), Koudougou and Kamboinse, Burkina Faso; Tel (226) 70728746; email batieno52@gmail.com

          Co-PI: Francis Kusi, CSIR - Savanna Agricultural Research Institute (SARI), Tamale, Ghana; Tel (233) 244 788 076; email onkufra@yahoo.co.uk

          Co-PI: Moussa Diangar, Centre National Recherches Agronomie, Bambey, Institut Senegalais de Recherches Agricole (ISRA) & CERAAS, Thies, Senegal; Tel (221) 77271 7427; email diangarfils@live.fr

 

Project Goals and Objectives

The overall project goal is to increase yield and grain quality of cowpea varieties designed to match farmer, consumer and market preferences; this in turn will enhance both nutritional status and household income of smallholder farmers and their communities in the West Africa cowpea dry grain production zone. The project goal centers on using cutting edge genetic and genomic tools and knowledge to add target phenotypic traits to elite cowpea varieties and breeding lines and to ensure seed stock purity of breeding materials and new variety releases. The project goal, objectives and activities provide a framework for positively addressing human capacity strengthening in the target ZOIs, and cross-cutting themes of improvements in gender balance and youth engagement and nutrition and resilience enhancement. Partnerships between the research expertise and resources at UC Riverside (UCR) with the cowpea breeding programs at the three NARO units in Burkina Faso, Ghana and Senegal positioned in the target cowpea production areas provide a mature project structure for achieving these goals.

Objective 1: Apply marker systems to add traits to elite African cowpea varieties and lines.

Collaborators: Philip Roberts, Bao-Lam Huynh and Timothy Close, University of California Riverside; Joseph Batieno, INERA, Burkina Faso; Moussa Diangar, ISRA, Senegal; Francis Kusi, CSIR-SARI, Ghana.

 

Objective 2: Field performance test improved lines in support of the variety release process.

Collaborators: Philip Roberts, Bao-Lam Huynh and Timothy Close, University of California Riverside; Joseph Batieno, INERA, Burkina Faso; Moussa Diangar, ISRA, Senegal; Francis Kusi, CSIR-SARI, Ghana.

 

Objective 3: Apply markers for quality assurance of new and current variety seed stock purity.

Collaborators: Philip Roberts, Bao-Lam Huynh and Timothy Close, University of California Riverside; Joseph Batieno, INERA, Burkina Faso; Moussa Diangar, ISRA, Senegal; Francis Kusi, CSIR-SARI, Ghana.

 

Objective 4: Students, staff, and women farmer training activity.

Collaborators: Philip Roberts, Bao-Lam Huynh and Timothy Close, University of California Riverside; Joseph Batieno, INERA, Burkina Faso; Moussa Diangar, ISRA, Senegal; Francis Kusi, CSIR-SARI, Ghana.

 

Overview of Activities

Organized by objective

Objective 1: Apply marker systems to add traits to elite African cowpea varieties and lines.

1.1 Choice of target variety profiles. This activity was done by each HC during the first year of the project. Prioritization of elite cowpea varieties to be used for trait additions was made based on available HC secondary data for local farmer, consumer and market preferences. Three elite local varieties per HC were chosen for improvement.

1.2 Genotyping. Each HC sent seeds of preferred local varieties (identified from 1.1) to UCR. The UCR team grew these varieties in UCR greenhouses during year 1 under short daylength conditions for background purity check by SNP genotyping. For each variety, one true-to-type plant with the least heterozygosity was retained for breeder seed production in future crosses.

1.3 Trait additions. Crosses were made between the chosen African elite varieties and cowpea trait donors in UCR greenhouses during year 1 to initiate a marker-assisted backcrossing (MABC) activity with each HC partner team. The MABC activities involved a shuttle breeding approach between UCR and the HCs for genotyping selection and plant production at each MABC cycle.

 

Objective 2: Field performance test improved lines in support of the variety release process.

2.1 Phenotyping of MABC lines. This activity was conducted in Years 3 (main season summer 2022) and 4. The near-isogenic line (NIL) breeder seeds sent to the respective HCs for seed increase in spring 2022 (following the development of the MABC lines under Activity 1.1-3 of Objective 1) were used in field performance trials in Years 3 and 4. The NILs and parents were grown in HC hotspot locations for biotic stress targets (aphids, Striga and Macrophomina).

2.2 Phenotyping of MARS, MAGIC and super-MAGICs. Breeder seeds of these materials produced in UCR greenhouses in Year 1 were sent to each HC for preliminary replicated field performance trials in the 2020 main season. These on-station plantings in each HC were monitored and evaluated for performance, including yield and grain quality, and pest and disease response, in replicated trials. Lines were selected based on yield and seed quality compared with local checks. Further selection of best-performing and farmer preferred lines was conducted in subsequent project years, to develop subsets of pre-release lines in each HC.

2.3 Women farmer participatory field trials. Depending on amount of planting seed available, top yield-performing lines selected from activities 2.1 and 2.2 were evaluated in HC on-station and on-farm trials, where women farmers participated in evaluations using the Farmer Participatory Variety Selection (FPVS) protocols.

 

Objective 3: Apply markers for quality assurance of new and current variety seed stock purity.

3.1 Production of Breeder Seed stocks and variety release application. This activity was conducted in Year 4 of the project. Initial seed increases were done at UCR. SNP genotyping was used to verify genetic identity and homogeneity of new varieties. A representation of individual plants per variety was greenhouse-grown and SNP genotyped. One or more plants with the least heterozygosity were used for establishing the original Breeder Seed stock. These purified Breeder Seeds were used in HCs for Foundation Seed increase for release. The HC co-PIs used performance data from Objective 2 in the variety release applications.

 

Objective 4: Students, staff, and women farmer training activity

4.1 Students and staff training activity. Students and staff at each HC institution conducted lab-based training on molecular breeding during all project years, utilizing the SNP-genotyping data generated from analysis of seed line purity, for elite line parent selection for MABC, and from genotyping MABC crosses. Data generated from the MARS and MAGIC line selection efforts were also used as training materials. Guidance and materials for training were provided by the UCR team and coordinated locally by each HC co-PI.

4.2 Women farmer training activity. Women farmer involvement in Farmer Participatory Variety Selection (FPVS) activities focused on the main season field trials conducted under Objective 2 Activity 2.2.

 

Accomplishments (organized by Objective)

Objective 1:

In Ghana, under Objective 1, five biparental backcross populations were developed from the three recurrent parents, which are local elite varieties (Apagbaala, Soo-Sima, Zaayura Pali), and three donor parents (CB77, SARC 1-57-2 and spMAGIC10). CB77 is an aphid-resistant blackeye cultivar developed by UC Riverside; it carries 2 aphid-resistance quantitative trait loci (QTLs) from the African cowpea line IT97K-556-6. SARC 1-57-2 is a Ghanaian breeding line carrying one aphid-resistance QTL, which is different from those in IT97K-556-6. SpMAGIC10 is a breeding line developed at UCR; it carries one major QTL for large seed, two QTLs for resistance to Striga parasitic weed, and one QTL for resistance to Macrophomina disease.

In spring 2020, seeds of the three elite local varieties were sent to UC Riverside for SNP genotyping using the Kompetitive allele-specific polymerase chain reaction (KASP) assay (LGC Genomics, Hoddesdon, United Kingdom). One representative plant (with the least heterozygosity) per variety was further genotyped with the high-density 50K iSelect assay for establishing the original Breeder Seed stock for use in MABC. The genotyped plants were crossed with donor parents to produce five F1 populations (Apagbaala x CB77, Apagbaala x SARC 1-57-2, Apagbaala x spMAGIC10, Soo-Sima x spMAGIC10, and Zaayura Pali x spMAGIC10). The F1 seeds were planted at SARI-Ghana in summer 2020 and backcrossed to their recurrent parents to generate BC1F1 seeds. The BC1F1s were planted in autumn 2020 at UC Riverside, and leaf disc samples of 10-day old seedlings collected for genotyping with KASP SNP markers. Analysis of SNP data enabled selecting the best BC1F1 plants with target QTLs (foreground selection) and highest recovery of the recurrent-parent genome (background selection) for BC2F1 crosses.

The BC2F1s were planted at SARI-Ghana in summer 2021 and SNP genotyped with 2515 SNP markers using Diversity Arrays Technology (DArT, Intertek ScanBi Diagnostics, Sweden). Selected BC2F1 plants were allowed to self-pollinate to obtain BC2F2 seeds. In autumn 2021, 752 seeds of BC2F2 and recurrent parents (Apagbaala, Zaayura Pali and Soo-Sima) were planted in a SARI greenhouse for DArT genotyping. For each recurrent parent x donor cross, up to 4-6 BC2F2 plants were selected for evaluation in 2022. They are fixed for donor favorable alleles at target QTLs and carry high recurrent-parent background based on polymorphic SNPs. Some plants with Apagbaala background that are heterozygous at QTLs were also intercrossed to stack QTLs from different donors. The selected BC2F2 lines were planted in a striga hotspot location at the Manga station of SARI during summer 2022 for evaluation of striga resistance, earliness and seed size. Single plant selections of the five BC2F3 populations were made based on recurrent parent characteristics and other morphological traits. Aphid screening for two populations developed for aphid resistance was carried out in pots on the selected BC2F3s. Four resistant and six tolerant plants were selected, and seeds collected for planting in the 2023 main season. Meanwhile, 172 F2 progenies derived from intercrosses of BC2F2 lines were planted in SARI greenhouse in spring 2023 for DArT genotyping. Seeds have been harvested and under cold storage awaiting SNP data for selection and planting in the 2023 main season.

In Burkina Faso under Objective 1, nine biparental backcross populations were developed from the three recurrent parents, which are local elite varieties (Komcalle, Nafi, Tiligre), and three donor parents (CB77, SARC 1-57-2 and spMAGIC10). In spring 2020, seeds of the three elite local varieties were sent to UCR for KASP genotyping. One representative plant (with the least heterozygosity) per variety was further genotyped with the high-density 50K iSelect assay for establishing the original Breeder Seed stock for use in MABC. Initial F1 crosses were made between the genotyped plants and each donor parent. The F1 seeds were planted at INERA in summer 2020. The plants were decimated by heavy rain, so planting was repeated in autumn 2020 for backcrosses to generate BC1F1 seeds. Seven populations producing sufficient BC1F1 seeds were planted in spring 2021 at UCR for KASP genotyping followed by background and foreground selection to make BC2F1 crosses. Backup BC1F1 crosses were also made at UCR for the other two BC1F1 populations that did not produce enough seeds in INERA.

In summer 2021,752 seeds of BC1F1, BC2F1 and recurrent parents (Nafi, Tiligre and Komcalle) were planted in an INERA greenhouse for genotyping with 2515 SNPs (Intertek). Due to sample damage in transit to Intertek, the sampling was repeated. Selected BC1F1 and BC2F1 plants were thus allowed to self-pollinate to obtain BC1F2 and BC2F2 seeds, respectively. These seeds were planted at INERA in summer 2022 for DArT genotyping. Seeds from selected lines were planted in the field in spring 2023 (Figure 1). Among them, 22 lines fixed for donor QTLs were subjected to single plant selections based on recurrent parent characteristics and morphological traits. The other lines heterozygous at QTLs were genotyped further with DArT markers to select homozygous QTL plants. Meanwhile, one BC2F1 population (Tiligre //Tiligre/CB77) was regenotyped at UCR, and BC2F2 seeds fixed for two aphid-resistance QTLs from IT97K-556-6 were sent to INERA in June 2023 for evaluation of aphid resistance. Aphids are being reared at time of reporting, and the trial will be artificially infested in early September 2023.

In Senegal under Objective 1, five biparental backcross populations were developed from the three recurrent parents, which are local elite varieties (Pakau, Sam, Yacine), and two donor parents (spMAGIC10 and Sanzi). Sanzi is a Senegalese cultivar carrying 2 QTLs for flowerthrips resistance. In spring 2020, seeds of the three elite local varieties were sent to UCR for KASP genotyping. One representative plant (with the least heterozygosity) per variety was further genotyped with the high-density 50K iSelect assay for establishing the original Breeder Seed stock for use in MABC. The genotyped plants were crossed with donor parents to produce five F1 populations (Pakau x spMAGIC10, Pakau x Sanzi, Sam x Sanzi, Yacine x spMAGIC10, and Yacine x Sanzi). The F1s and recurrent parents were planted at ISRA in summer 2020 for BC1F1 crosses. The crosses were not successful due to heat stress. The F1 and recurrent parent were re-planted at ISRA but the BC1F1 crosses were unsuccessful due to rain. The F1 and recurrent parents were planted at UCR in spring 2021 to make BC1F1 crosses. In summer 2021, 358 backup seeds of BC1F1 and recurrent parents were planted in the field at ISRA for SNP genotyping, but the field planting failed. Backup seeds of F1 and recurrent parents will be planted at ISRA in summer 2023 to make BC1F1 crosses.

In the US, under Objectives 1 and 2, multi-year on-station and on-farm evaluation trials led to the release of a new aphid-resistant California blackeye cultivar CB77 in 2021 (https://doi.org/10.1002/plr2.20176). This variety was developed by MABC. Breeder seeds of CB77 were increased at UC Riverside in summer 2022 (Figure 2) and submitted to University of California David Foundation Seed Program for Foundation seed class production in summer 2023. MABC was also applied to introduce biotic resistance from CB77 (aphid resistant) and CB27 (Fusarium wilt resistant) into California blackeye cultivar CB5. CB5 is a popular largeseeded California blackeye but highly susceptible to Fusarium wilt disease and aphid infestation. This activity was built upon BC3F1 populations developed from a previous USAID project (Feed the Future Innovation Lab for Collaborative Research on Grain Legumes). In spring 2020, intercrosses were made between BC3F1 plants to stack QTLs, followed by SNP genotyping for foreground and background selection. BC3F3 blackeye lines with CB5 background and fixed for Fusarium and aphid resistance QTLs were selected in a UCR greenhouse in 2021 and planted in field evaluation trials in summer 2022 and 2023 at the UC Kearney research station, Parlier, CA.

 

Objective 2:

Under Objective 2 in Ghana, five varieties with multiple resistance to field pests were released pending final approval by the National Seed Council. They were selected from 27 MARS, 10 MAGIC and 22 spMAGIC advanced lines developed at UC Riverside. In 2020, breeder seeds of these lines and 10 founder parents were sent from UC Riverside to SARI for a replicated on station field performance trial in main-season 2020. Harvest was conducted during October 2020 and field performance, fodder and grain yield, plus seed quality data, were used to select best lines. Field trials of these lines were repeated during main-season 2021 involving evaluation by farmers. The most promising 29 lines were further tested during off-season 2022. Six advanced breeding lines (one MARS, one MAGIC and four spMAGIC) showed high yield potential (1006 – 1563 kg/ha), and were planted with four local variety checks in inspection plots in summer 2022 for examination in October 2022 by the Ghana National Variety Registration and Release Committee (NVRRC) (Figure 3). Three phenotypic stages were prepared for the inspection by staggered planting dates to create vegetative, flowering/podding, and maturity growth stages for inspection. Seed samples were also prepared for the inspection. The NVRRC recommended five lines (spMAGIC006, MAGIC 062, MARS004, spMAGIC078, and spMAGIC012) for release. Release applications for these varieties were submitted under commercial names (KantonBongdaa, Salifu-Tuya, Diiyak, UCR-Benga and Awudu-Benga) to the national seed council in spring 2023 for final approval.

Under Objective 2 in Burkina Faso, field evaluation trials were conducted at INERA using the same panel of 69 advanced lines as tested in Ghana. Based on data from 2020 and 2021 trials together with the farmer participatory variety selection, the top 25 advanced breeding lines (from MARS, MAGIC and spMAGIC populations) were field tested with six local variety checks during the 2022 rainy season in four replicated trials in Saria, Fada, Farako-Ba, and Kamboinsé. Seeds of these lines were also increased during the off-season from October 2022 to February 2023 for use in sensory evaluation tests. From these field trials, five best lines (spMAGIC007, spMAGIC 012, spMAGIC024, MARS002, MARS010) were selected to enter multi-location evaluations for DUS and VAT testing during the current 2023 rainy season to collect on-farm performance data required for variety registration. One line (spMAGIC 012), the same as one of the lines SARI is registering for release in Ghana, will be released for use in Burkina Faso without any further registration restrictions, allowable under ECOWAS regulations.

Under Objective 2 in Senegal, field performance and participatory trials were conducted at ISRA during 2020 (Figure 4), 2021 and 2022 rainy seasons using the same panel of 69 advanced lines as tested in Ghana and Burkina Faso. Top-performing lines were selected with respect to early maturity (MARS13), high grain yield (MARS14, MARS24, spMAGIC41), and preferred seed characteristics (spMAGIC18, spMAGIC24, spMAGIC28, spMAGIC33, spMAGIC40, spMAGIC68 and spMAGIC78). Field trials were conducted for these elite lines at multiple locations to make final selection decisions on lines for countrywide release as new varieties.

 

Objective 3:

Under Objective 3 in Ghana, field-grown seed samples of the 5 new variety releases (KantonBongdaa, Salifu-Tuya, Diiyak, UCR-Benga and Awudu-Benga) described under Objective 2 were sent to UCR in spring 2023. Forty-eight seeds per variety were planted in UCR greenhouses and leaf sampled for DArT genotyping. One or more genetically identical plants with the least heterozygosity will be allowed to self-pollinate to produce original breeder seed stocks for Ghana. 

Under Objective 3 in Burkina Faso, field-grown seed samples of six released varieties (Gourgou, Issa Sosso, Makoyin, Neerwaya, Teeksongo and Yipoussi) from previous USAID projects were sent to UCR for genotyping. In spring 2023, 48 seeds per variety were planted in UCR greenhouses and leaf sampled for DArT genotyping. One or more genetically identical plants with the least heterozygosity will be allowed to self-pollinate to produce original breeder seed stocks for Burkina Faso.

Under Objective 3 in Senegal, field-grown seed samples of two outstanding candidate varieties (3006 and 5464) from previous USAID projects were sent to UCR for genotyping. In spring 2023, 48 seeds per variety were planted in UCR greenhouse and leaf sampled for DArT genotyping. One or more genetically identical plants with the least heterozygosity will be allowed to self-pollinate to produce original breeder seed stocks for Burkina Faso.

 

Objective 4:

Under Objective 4 in Ghana, degree training for two master’s degree (Alhassan Shaibu, Samuel Ansah) and one bachelor’s degree (Lilian Talata) students were completed. Four short-term training workshops in practices to increase cowpea productivity were provided for local farmers, students and technicians during 2021 and 2022.

Under Objective 4 in Burkina Faso, degree training for master’s degree (Karidiatou Pare) and bachelor’s degree (Ouedraogo Faridatou) students was completed, and two PhD (Poda Leandre and Bassole Yannick) and one bachelor’s (Compaore Daniel) students are almost completed. Non-degree short training on the use of BMS and the tablet for data collection was provided for technicians in 2022. New students partially supported by the project have been hired for internships and short-term degree training. Training workshops on seed production were also provided to farmers in 2022 and 2023.

Under Objective 4 in Senegal, degree training for two master’s degree (Ibrahima Sonko, Soda Cisse) and five bachelor’s degree (Astou Tine, Boubacar Soumaré, Ndeye Awa, Seydina Oumar Diaw, Mouhamadou Moustapha Diallo) students was completed. Training workshops on seed characteristics were provided for 150 farmers during main seasons in 2021 and 2022.

 

 

Figure1FinalReport.png
Figure 1. Advanced lines derived from marker-assisted backcrossing (MABC) planted at INERA-Burkina Faso in spring 2023 for single plant selections based on recurrent parent characteristics and morphological traits.

Figure2FinalReport.png
Figure 2. Isolation plots of aphid-resistant blackeye cowpea cultivar CB77 planted at University of California Riverside in summer 2022 for Breeder Seed production.

Figure3FinalReport.png
Figure 3. Inspection plots of advanced breeding lines planted at SARI-Ghana in summer 2022 for examination by the National Variety Registration and Release Committee (NVRRC).

Figue4FinalReport.png
Figure 4. Advanced cowpea lines (MARS, MAGIC and spMAGIC) and local checks planted at ISRA-Senegal in the rainy season 2020.

 

Highlights of Addressing Cross Cutting Themes (HICD, Gender, Youth, Nutrition, Resilience)

HICD. Individual and group training were conducted for NARO female and male graduate students, cowpea breeders and technical staff in best breeding practices and application of marker technologies. The marker system technologies (KASP and DArT) that were used in the project provided a self-sustaining breeding approach for NARO scientists. Thus the project provided a marker-driven breeding framework that will be less dependent on UCR or other higher institutions in the future. The HC scientists trained during the project are now prepared to train current and new staff to sustain the modern breeding approach. Further adoption of the IBPBMS program for breeding management was made. Participatory varietal selection and preference surveys by female farmers were conducted at HC on-station and on-farm trials with the full suite of advanced pre-release cowpea breeding lines from the MABC, MARS and MAGIC populations. 

Gender and Youth. Female scientists were trained in innovative breeding outputs that utilized participatory women farmer fields. Enhanced cowpea productivity that will be generated by the superior performance of the new variety releases should strengthen smallholder farmer (mostly women) households through derived nutrition and economic benefits. Women farmers were actively engaged in developing cowpea preferences for household use and for domestic market sales. The Farmer Participatory Varietal Selection (FPVS) process was used in each HC, in which farmer groups provided valuable inputs into preferred varieties based on plant growth, yield and grain quality. This was employed at multiple HC locations, as a component of selection of candidate variety selection for release. HC variety release guidelines emphasize field performance and market acceptability. The FPVS process helps build farmer resilience and support for cowpea production best practices. More sustainable cowpea production systems less reliant on chemical pesticide inputs and with enhanced food value and economic value are considered to be attractive to youth within vulnerable households.

Resilience. Resilience contributions from the project are based on increased yields and grain quality of new cowpea varieties developed by the MABC, MARS and MAGIC breeding and selection efforts, which will benefit smallholder households economically. These benefits will be in the form of more productive varieties generating cash income for grain production above that needed to adequately provide year-round nutritious food. The combination of a nutritious diet based on cowpea as a key dietary component, coupled with cash income to support household economy is anticipated to derive from adoption success of higher yielding preferred varieties released by the project, benefit outcomes from which should be realized over a 5 to 10-year adoption horizon.

Nutrition. Cowpea grains are rich sources of protein, essential minerals and folic acid. The project contribution to the nutrition theme is based on the logical premise that increases in cowpea grain and fodder yields per unit area in the HC ZOIs from growing the improved (higher yielding) varieties will result in increased food availability for consumption, with more protein on the plate, together with increases in essential vitamins (e.g. folic acid) and minerals. This effort will promote resilience of the most vulnerable smallholder households and rural communities, especially women, children and youth. We have developed high-yielding varieties with added nutritional values and desirable taste based on nutritional assays and sensory tests using grain samples of MARS, MAGIC and spMAGIC lines selected from multi-year performance trials. Table 1 summarizes data from a sensory test at SARI-Ghana using four cowpea-based food types (Kose, Tubani, Wakye and Red-Red) derived from five new improved varieties (spMAGIC006, MAGIC 062, MARS004, spMAGIC078, spMAGIC012) and local check Wang Kae. MAGIC062 and MARS004 stood out among the entries as the most preferred lines, followed by spMAGIC078, spMAGIC006, Wang Kae and spMAGIC012. The quality of the food prepared from the genotypes was comparable in taste, aroma, appearance, texture, mouth fill, etc. The assessment during the preparation of the dishes described all the varieties as rough textured based on their seed coat texture. They easily absorbed water and expanded when soaked for a few hours. Therefore, it was very easy to remove the seed coat and they produced very fine powder after grinding. They cooked very quickly during the preparation of Red-Red and Wakye.

 

Table1FinalReport.png
Table 1. Sensory evaluation of new improved cowpea varieties and check Wang Kae at SARIGhana. Data shown are percentages of people choosing each cowpea-based food type (Kose: cowpea flour, mixed with spices and deep fried, Tubani: cowpea flour paste, wrapped in leaves and steamed, Wakye: cowpea mixed with rice and boiled together, and Red-Red: cowpea sauce eaten with fried plantain)

 

In Burkina Faso, grains of advanced MABC, MARS and MAGIC lines increased in spring 2023 will be used for sensory testing and cooking time in late August 2023. The events will be conducted by a nutrition specialist using a sample population of students from the neighborhood secondary and high schools.

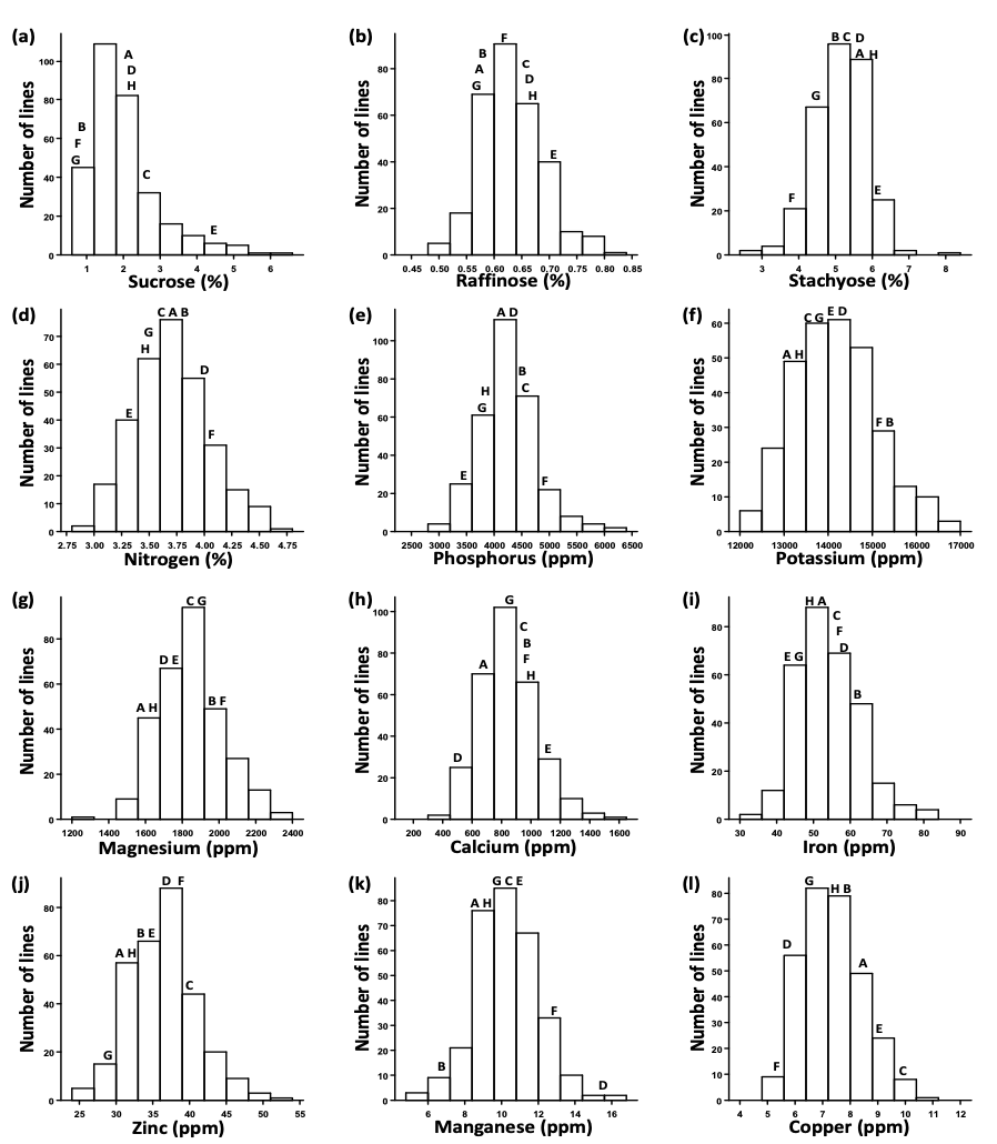
Development of high yielding cowpea varieties coupled with good taste and rich in essential minerals can promote consumption and thus nutrition and profitability. The sweet taste of cowpea grain is determined by its sugar content, which comprises mainly sucrose and galactooligosaccharides (GOS) including raffinose and stachyose. However, GOS are indigestible and their fermentation in the colon can produce excess intestinal gas, causing undesirable bloating and flatulence. We examined variation in grain sugar and mineral concentrations, then genetically mapped QTL and estimated genomic-prediction (GP) accuracies for possible application in breeding. Grain samples were collected from the cowpea MAGIC population grown in California during 2016-2017. Grain sugars were assayed using high-performance liquid chromatography. Grain minerals were determined by inductively coupled plasma–optical emission spectrometry and combustion. Considerable phenotypic variation with transgressive segregation was observed (Figure 5). Major QTLs for sucrose, stachyose and some minerals were identified. Allelic effects of QTLs for sucrose and stachyose were validated using the MAGIC grain samples grown in Senegal, Ghana, Burkina Faso and Nigeria in 2017. GP accuracies for minerals were moderate. These findings, as described in a manuscript recently submitted to the journal “Scientific Reports”, will help guide future breeding efforts to develop nutrient-dense cowpea varieties with desirable content of sugars.

 

Figure5FinalReport.png
Figure 5. Frequency distribution for mean concentration of (a-c) grain sugars and (d-l) mineral nutrients measured in the cowpea MAGIC population grown in two short-daylength seasons in Thermal, California. Values for the founder parents are indicated by capital letters: A, IT89KD288; B, IT84S-2049; C, CB27; D, IT82E-18; E, Suvita-2; F, IT00K-1263; G, IT84S-2246; H, IT93K-503-1.

 

Utilization of Research Outputs and Handoff/Scaling of the Outputs

In Ghana, access to the five new varieties (Kanton-Bongdaa, Salifu-Tuya, Diiyak, UCR-Benga and Awudu-Benga) has been promoted by seed companies and farmers. 

         a) Seeds of these varieties was contributed to the establishment of technology park hosted by a USAID sponsored Innovation Research, Extension and Advisory Coordination Hub (IREACH) project. The IREACH project exposes the new cowpea varieties to the many farmers who will visit the IREACH project technology Park. SARI will follow up to produce enough seeds to meet the demand of farmers who will be exposed to these varieties.

         b) SARI has established contact with the Accelerated Dissemination of Soil Improvement Practices (ADSIP) Project, another USAID sponsored project being implemented by WINROCK in Northern Ghana. The five recommended cowpea varieties will be introduced to the farmers under the ADSIP project to train them on the how suitable the five varieties which are dual purpose could be used in integrated soil fertility management (ISFM) system to improve soil fertility as well as produce quality cowpea as source of food, nutrition and income to the small-holder farmers’ households.

         c) SARI has also established contact with another USAID Project under the MSR project to supply small quantities of the five cowpea varieties for on-farm evaluations. Now the seed companies, depending on their capacities, have requested Foundation Seeds to produce Certified Seeds ranging from 2 to 10 hectares during the next main cropping season in 2024.

         d) Seed multiplication, preparation is on-going to start producing foundation seed this season between July and November 2023 to meet the demand for the varieties come next season.

In Burkina Faso, access to the six new varieties (Gourgou, Issa Sosso, Makoyin, Neerwaya, Teeksongo and Yipoussi) and other pending releases (MABC, MARS, MAGIC and spMAGIC) has been promoted by seed companies and farmers:

         a) Seeds of new Teeksongo and Neerwaya and other varieties including Komcalle and Tiligre were contributed for used in the Burkina Faso presidential initiative for young entrepreneurs in agriculture. The cowpea breeding team at INERA provided enough seeds to cover 6 ha of land in Bagrepol to support that initiative. 50 young entrepreneurs are involved in that initiative.

         b) INERA has established contact with farmers’ organizations AMSP, YiYE and SougrNooma to conduct demonstration tests and field days with all the released cowpea varieties in order to help create awareness for better popularization of the varieties. INERA has also established contact with the farmers’ seed organization (UNPS-BF) and the Seed entrepreneurs’ organization ANES-BF to produce Foundation Seed of the new varieties.

         c) In connection with the equipped project, the dual-purpose variety Teeksongo is also being promoted. This variety is also heavily promoted by Olivier Pare who is a known agri-champion in Burkina Faso. The Hellen Keller Foundation is also working with the INERA-Kamboinse Seed Unit to produce new variety Teeksongo with the farmers they support.

         d) Seed multiplication is on-going at INERA to produce enough seed in the main season between July and November 2023 to be used for the last on-farm trial of the potential lines for release (spMAGIC007, spMAGIC012, spMAGIC024, MARS002, MARS010) for the next season.

         e) Seed of all six new varieties is also under multiplication to meet the demand for next season.

In Senegal, access to the two new varietal candidates (3006 and 5464) and other potential releases (from the chosen MARS, MAGIC and spMAGIC lines) by seed companies and farmers has been promoted. The ISRA cowpea breeding program in Bambey linked up with the private sector, including the association of farmers to produce seed and local sponsors called Fondation Syngenta for the production of new variety pre-release seeds. Project funding to ISRA was leveraged through a mini-grant of $20,000 obtained from Fondation Syngenta to support the seed production work. All the seed production plots have been planted in main season 2023. From the activities reported on participatory line selection, positive feedback has been received from farmers and UNIS, which is the biggest farmer organization in charge of variety seed production in Senegal.

In the USA, access to the new aphid-resistant blackeye cultivar CB77 is being promoted by the University of California Davis Foundation Seed Program (FSP, https://fsp.ucdavis.edu/). Breeder Seed of CB77 was sent to FSP for Foundation Seed production in summer 2023. The FSP will sell the Foundation Seed to blackeye seed producers, who will then produce Registered Seed in 2024, and Certified Seed in 2025. Following this plan, 2026 will be the year that US growers will be planting commercially from the Certified Seed, but there could be some commercial production in 2025 using surplus Registered Seed. Meanwhile, demonstration plots of CB77 have been planted in 2023 on-station and on-farm evaluation trials in California and other states to enable adoption.

 

Further Challenges and Opportunities

This project involved consecutive activities from germplasm development and MABC breeding, to evaluation and dissemination of new improved varieties. Any delay or deviation in an activity could affect the overall project timeline and outcomes as described in the “Accomplishments”. Delay and failures in the field caused by external factors including weather variability and pest presence, as happened with MABC activities in Senegal and Burkina Faso, should be considered in future projects, such as equipping HCs with sufficient greenhouse conditions. The COVID-19 pandemic affected international travel and thus in-person capacity trainings on MABC breeding, which should be made up in future projects as the situation continues to improve.

Further opportunities will include continued development and scaling of new value-added cowpea varieties based on the capacities built by this project (i.e., improved varieties and breeding germplasms, the skills of research staff and connection between researchers, extension personnel and stakeholders). Immediate work will follow the stepwise workplan scheme for MABC-developed elite local cowpea varieties nearing release, and field testing, performance selection and release of top-performing MARS, MAGIC and spMAGIC cowpea breeding lines in the three host countries and new pest-resistant versions of CB5 in the USA. The graduate student research programs will continue to follow specific aspects of the cowpea breeding and genetics workflow in each HC, under guidance from the project team. Training of farmers, field staff and other stakeholders will be carried out along with current 2023 field trials to enable adoption of new varieties. Foundation seeds of new varieties will be produced in HCs using the SNP genotyped breeder seed stocks generated at UC Riverside.

For the longer term, nutrient-dense cowpea varieties with better taste will be developed to promote consumption and thus nutrition and profitability as explained under the section on ‘Nutrition’. New varieties of vegetable cowpea (long bean, Asian yardlong bean) with pest resistance will also be developed to expand production. Long bean is grown traditionally across countries in Southeast Asia. It is also a popular crop in central California, where it is grown mostly on small-scale, diversified farms by Southeast Asian refugee Hmong farmers. However, long bean has the highest incidence of pesticide use of all specialty vegetables. Concerns about high pesticide use have led to many farmers no longer growing long bean. New improved varieties and germplasm have been developed under support by USDA – California Department of Food and Agriculture (https://uslongbeanbreeding.ucr.edu/). These capacities set a foundation for future breeding programs to benefit long bean growers in Southeast Asia and the USA.

In a brief survey among our HC teams in Burkina Faso, Ghana and Senegal, the following opportunities emanating from the project work were highlighted.

         1. Promoting the access of farmers and seed companies to the five improved cowpea varieties in Ghana and in the sub-region. Increased access can be achieved through production and dissemination of early generation seeds, field demonstrations, field days, cowpea seed fair, radio and TV shows, and production and distribution of leaflets, flyers production guides, manuals etc.

         2. Promoting food types and utilization of the new cowpea varieties especially for the children, pregnant women and the small-holder farmer households to improve nutrition and food security.

         3. Creating jobs, income generation and improved livelihoods among youth and women through engaging and training them to build their capacities as cowpea seed growers, grain producers, cowpea processers, aggregators etc.

         4. Developing cowpea varieties suitable as leafy vegetables during the long dry season in the dry savanna zones in northern Ghana, Burkina Faso and Senegal. Leafy vegetables are consumed in every house in northern Ghana. Cowpea leaf is popular among the leafy vegetables during the long dry seasons due to its ability to withstand the dry high temperature conditions, plus relative ease to cultivate and attractive good taste.

         5. Developing cowpea varieties that can be harvested mechanically to lower the cost of production.

         6. Assess nutrition status traits of breeding lines selected for release in combination with appropriate checks as standard pre-selection criteria.

 

Accessibility Questions:

For questions about accessibility and/or if you need additional accommodations for a specific document, please send an email to ANR Communications & Marketing at anrcommunications@anr.msu.edu.