Research Deep Dive

If you would like to learn more about the science behind ReGrow Milkweed for Monarchs, please have a look at our recent peer-reviewed journal articles.

 

Cutting back milkweed attracts egg laying monarchs and may make milkweed stems safer.

We found less predatory arthropods on milkweed stems that were regenerating after disturbance. Points represent the mean number of predators per milkweed stem, and shaded areas denote the SEM. Asterisks show significant pairwise contrasts within each week, indicating when a given treatment differed from the undisturbed control. Data from July-mowed plots on July 26–27 in 2017 and August 6–7 in 2018 were excluded from analysis because less than half of them had produced regenerating stems leading to unbalanced sample sizes.In this study we divided 23 milkweed patches into three sections each. We cut back one section of each patch in June, another section in July, and the last third we left alone as a control. We counted monarch eggs and caterpillars in the plots every week, as well as predatory insects and spiders that might eat monarchs. We found that after both times we cut milkweed stems back (June and July), monarchs laid many times more eggs on the newly regrowing stems than the ones we left alone. There was also a period of several weeks when there were fewer predators on the regrowing milkweed stems. Read publication here: Haan and Landis 2019 Biological Conservation

 


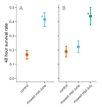
Monarch caterpillars survive at higher rates on regrowing stems than on undisturbed ones.

Haan and Landis 2020 Fig 1We divided milkweed patches into three sections (as in the previous experiment), cutting one section back in June, another in July, and leaving the third section alone as a control. Then we put just-hatched caterpillars on milkweeds in each section and monitored their survival. We found they are 2-2.5x more likely to survive their first two days if they are on stems that regrow after being cut back. We also monitored the abundance of wildflowers and pollinator visitors to see how cutting back milkweed affects them (we used a brush trimmer, so surrounding plants were cut back along with the milkweed). We found both flowers and pollinators are less abundant for a few weeks after cutting, but then they return to the same level as if they had been left alone. Interestingly, some of the plants that were cut back flowered later in the season when they regrew, extending the overall bloom duration. Read publication here: Haan and Landis 2020 Biological Conservation


We think monarchs may have historically benefitted from mechanical weed control in corn and soy fields in the midwest. 

Disturbance resets milkweed phenology, providing new stems in the vegetative stage for monarch oviposition while also reducing predator abundance. Here we show idealized curves representing changes in milkweed’s oviposition appeal and/or nutritional quality (blue) and in arthropod predator abundance (orange). In the plot representing undisturbed milkweeds (top) we show predator abundance peaking during the flowering stage because in recent work we found that predators were particularly dense on flowering stems.This is an opinion article in which we propose a hypothesis about the past and future importance of disturbance (i.e. cutting back milkweed) to monarchs. Common milkweed was a pesky weed in corn and soy fields until the late 1990s when farmers started using broad spectrum herbicides to control it and other weeds. Before these herbicides became available, growers used mechanical cultivation to suppress weeds. This didn’t work for controlling common milkweed, which as we know, quickly regrows after being cut back -- but it does mean stems in crop fields were probably commonly cut back in early summer, providing young stems for monarchs and reduced predator abundance. Read publication here: Haan & Landis 2019 Frontiers in Ecol Evol

 


Monarch predators are diverse.

ant is an example of a monarch predatorWe tested 75 types of insects and spiders to see if they eat monarch eggs and larvae and more than half did!! Ants, spiders, lady beetles, mirid bugs, and a host of others will readily snack on monarchs. In another upcoming article we show that most of this predation occurs at night. Read the publication here: Hermann et al. 2019, Scientific Reports


 

 Habitat context affects monarch egg laying choices, and most eggs are eaten by predators.

Monarch egg and first-instar survival to 72 h in four habitat treatments for three experimental periods: (A) August 2016; (B) July 2017; (C) August 2017. Points represent arithmetic means of survival across the four experimental blocks, and colored areas are SEM. Grouping letters represent post hoc Holm-adjusted pairwise contrast groupings of estimated marginal means from binomial generalized linear mixed model, α = 0.05. Shaded columns represent nighttime hours from 20:00 to 6:00.Monarchs lay different numbers of eggs on milkweeds growing surrounded by corn, soy, bare ground, and grasslands, and their choices vary year to year. Some eggs were caged to keep predators out so we could see how important predation is compared to other factors. The majority of monarch eggs are eaten! Read the publication here: Myers et al. 2019, Environmental Entomology

 

 

 

Related Studies

Strategic mowing of roadside milkweeds increases monarch butterfly oviposition. Samantha M.KnightD. Ryan NorrisRachael DerbyshireD.T. Tyler Flockhart. Global Ecology and Conservation.19 (2019), p. e00678.  https://doi.org/10.1016/j.gecco.2019.e00678

Monarch Butterflies Use Regenerating Milkweeds for Reproduction in Mowed Hayfields in Northern Virginia. John Alcock, Lincoln P. Brower, Ernest H. Williams Jr.The J. of the Lepidopterists' Society, 70(3):177-181 (2016).  https://doi.org/10.18473/107.070.0302

Enhancing Monarch Butterfly Reproduction by Mowing Fields of Common Milkweed. Sandra J. Fischer. The American Midland Naturalist, 173(2):229-240 (2015). https://doi.org/10.1674/amid-173-02-229-240.1